Пьезус – производитель контрольно-измерительного оборудования для агропромышленного комплекса
support@milkbranch.ru ENG
О портале Реклама в журнале Реклама на портале Архив номеров Свежий номер Подписка Электронная версия журнала О журнале

ООО «ЕКОКОМ»

Выставка «BeviTec 2026»
Просмотр выпуска
Выпуск №2 2026 г.


Архив номеров | Подписка

ЧИТАЙТЕ В СЛЕДУЮЩЕМ НОМЕРЕ
  • Лабораторный анализ продуктов маслоделия: на что обратить внимание изготовителю при организации производства и выпуске в оборот
  • Новое – хорошо забытое старое: о нормировании расходов сырья во времена Советского Союза и актуальности вопроса на современном этапе
  • Научные подходыпри разработке технологии масла Гхи в России

    Подробный анонс

  • Видеоролик о журнале "Переработка молока"

    НОВОСТИ ПОРТАЛА

    КОНТАКТЫ
    Адрес редакции: 105066, Москва, Токмаков пер., д. 16, стр. 2, пом. 2, комн. 5

    Редакция:
    Телефон: +7 (499) 267-40-10
    E-mail: barteneva@milkbranch.ru

    Отдел подписки:
    Прямая линия:
    +7 (499) 267-40-10
    E-mail: podpiska@vedomost.ru

    Отдел рекламы:
    Прямая линия:
    +7 (499) 267-40-10, +7 (499) 267-40-15
    E-mail: reklama@vedomost.ru

    Вопросы работы портала:
    E-mail: support@milkbranch.ru
    ПОПУЛЯРНЫЕ ЗАПРОСЫ

    Ecos Wear — профессиональная одежда для технологов и специалистов пищевой промышленности

    "Функциональные продукты сублимационной сушки"

    Материал прочитан 5641 раз и оценен
    0
    Г.П. Овчарова, М.Ю. Абреч, Е.Ю. Непорожняя
    Краснодарский научно-исследовательский институт хранения и переработки сельскохозяйственной продукции

    Известно, что уровень цивилизации общества оценивается по состоянию здоровья нации. В последние годы в России по ряду причин, в первую очередь социально-экономических и экологических, численность населения стремительно убывает ежегодно на 750 тыс. человек.

    Это свидетельствует о том, что здоровье нации в опасности. Немаловажная роль в этом негативном процессе отводится питанию населения, в структуре которого обнаружились значительные нарушения. Растет число людей с избыточной массой тела и ожирением - основным фактором риска возникновения сердечно-сосудистых заболеваний, сахарного диабета, с одной стороны, а с другой - со сниженной иммунореактивностью и резистентностью к радиации и контаментам химической природы.

    Грозным заболеванием, охватившем почти две трети населения, особенно детей, является дисбактериоз, возникающий в результате нарушения количественного и качественного состава микрофлоры кишечника под влиянием различных причин, в основном в результате лечения антибиотиками.

    В современных продуктах питания, особенно в рафинированных, наблюдается недостаток витаминов, макро- и микроэлементов, полноценных белков, клетчатки (пищевых волокон), ненасыщенных жирных кислот. В питьевой воде недостает йода, селена, магния, микроэлементов, в то же время отмечается избыточное содержание хлора и различного рода патогенной микрофлоры. Все это привело к интенсивным поискам во всех развитых странах создания продуктов питания нового поколения с определенными функциями, направленными на оздоровление человека.

    Ведущей страной по функциональному питанию является Япония, правительство которой приняло обширную программу профилактических мер по оздоровлению своих граждан и по снижению стоимости медицинского обслуживания. Проблема создания продуктов функционального питания также актуальна и для России. Наконец-то признана теория русского ученого-микробиолога И.И. Мечникова о великой роли молочнокислых бактерий, разрушающих в кишечнике человека разного рода гнилостные бактерии и подавляющих производство «ядовитых отходов». Эти исследования легли в основу теории И.И. Мечникова и его последователей об увеличении продолжительности жизни, получившей практическое подтверждение в настоящее время. Известно изречение знаменитого древнегреческого врача Гиппократа: «Все болезни гнездятся в кишечнике». В организме здорового ребенка 90-98 % всего микробиоценоза толстого кишечника составляет бифидофлора.

    Бифидобактерии вырабатывают биологически активные вещества, регулирующие многие функции организма: работу желудочно-кишечного тракта, обменные процессы, работу печени, сердечно-сосудистой системы, органов кроветворения. Они выполняют витаминообразующую функцию - участвуют в синтезе и всасывании витаминов группы В, К, фолиевой и никотиновой кислот, способствуют синтезу незаменимых аминокислот, лучшему усвоению ионов кальция, железа, витамина D, обладают антианемическим, антирахитическим и антиаллергическим действиями.

    Важная функция бифидобактерий - их участие в формировании иммунологической реактивности организма. С возрастом, а также при различных заболеваниях количество бифидобактерий резко уменьшается - возникает риск заболевания дисбактериозом. Проблема массовой профилактики дисбактериоза в течение последних 15-20 лет решается путем создания продуктов функционального питания, в первую очередь кисломолочных продуктов, содержащих живые микроорганизмы бифидо- и лактобактерий. Сейчас о кисломолочных чудо-продуктах с приставками «био» и «бифи», которые эксперты Международной молочной федерации называют «продуктами здоровья», знают даже дети. В России принята национальная концепция «Политика здорового питания», утвержденная Правительством РФ в 1998 г.

    Она предусматривает расширение ассортимента и увеличение объемов производства продуктов, обогащенных биобактериями (бифи- и лактобактериями) и другими функциональными ингредиентами (витаминами, минеральными веществами, пищевыми волокнами, растительными белками, пребиотиками). Преобладание лакто- и бифидобактерий в биоценозе кишечника человека - один из важнейших показателей его здоровья.

    В Краснодарском научно-исследовательском институте хранения и переработки сельхозпродукции разработана технология и создан новый класс сухих кисломолочных смесей на злаковой основе с плодоовощными наполнителями, обогащенных бифидобактериями и лактулозой. Предпосылками для создания кисломолочных смесей послужили определенные роли бифидобактерий для здоровья человека и открытие бифидогенных свойств мощного иммуностимулирующего пребиотика лактулозы, этого уникального углевода женского молока, синтезированного из природного объекта - компонента коровьего молока - лактозы.

    Бифидогенная активность лактулозы получила статус «бифидус-фактора». При разработке технологии применили современные методы оптимизации рецептур детского питания сложного состава, в основе которых лежит методика акад. Н.Н. Липатова (мл.), усовершенствованная д-ром мат. наук СВ. Усатиковым (КубГТУ) совместно с авторами настоящей публикации. Анализ литературных источников о нутриентном составе сырья животного и растительного происхождения при конструировании продуктов прикорма функционального назначения и прогнозирование их качества в соответствии с физиологической нормой ребенка первого года жизни выявили перспективность использования в качестве злаковой основы муки для детского питания: рисовой, овсяной, гречневой и кукурузной. Выбор кисломолочного компонента обусловлен диетическими и лечебными свойствами, формируемыми в молоке в результате микробиологических и биохимических процессов, протекающих при сквашивании и созревании молочного сгустка.

    Влияние ферментных систем молочнокислых бактерий на молочный белок при сквашивании вызывает распад на более простые и доступные для усвоения вещества. Органические кислоты в сгустках воздействуют на секреторную деятельность желудка и кишечника и усиливают выделение ферментов железами пищеварительного тракта, что ускоряет переваривание и лучшее усвоение пищи. Бифидобактерии, входящие в состав вносимой закваски, выполняют роль, о которой сказано выше.

    В качестве плодовых и овощных добавок в рецептурах использовали яблоки, абрикосы, морковь и тыкву, обогащающие продукты природными биологически активными веществами: витаминами, минеральными солями, пектином. Выбор способа сушки определен требованиями к качеству продуктов детского питания и их хранимоспособности. Этим требованиям отвечает сублимационная сушка, позволяющая, как известно, получить лиофильный, т.е. легко растворимый продукт, превосходящий по качеству продукты, законсервированные другими методами.

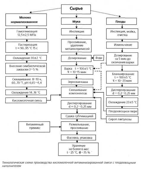
    Кроме того, сублимированные продукты могут длительное время сохраняться при положительной температуре, что очень удобно в длительных поездках, при проживании в сложных климатических условиях и т. д. На рисунке показана технологическая схема производства сухой кисломолочной смеси на злаковой основе с плодоовощными наполнителями, обогащенной витаминами и пребиотиком лактулозой.

    В состав симбиотической закваски входят пробиотики (ацидофильные палочки, бифидобактерии), термофильные и мезофильные молочнокислые бактерии. Сушку сублимацией проводили при давлении в системе 0,5-1,0 мм рт. ст, при температуре в процессе сублимации не выше -10 °С. Конечная температура продукта не выше 40 "С, остаточное содержание влаги в высушенном продукте не превышает 3 %. Высушенный продукт размалывали до состояния тонкодисперсного порошка, просеивали через металлотканое сито с закрепленными на нем магнитами для удаления возможных металлических примесей и расфасовывали в многослойные полимерные пакеты из материалов, разрешенных органами Роспотребнадзора для сухих продуктов детского питания.

    В готовом виде сухие смеси представляют собой мелкодисперсный сыпучий порошок, быстро восстанавливаемый в воде или молоке, с чистым кисломолочным вкусом и ароматом вносимых плодов и овощей. Цвет смесей зависит от плодоовощных наполнителей. В восстановленном виде смесь имеет более выраженные вкусовые показатели и сметанообразную нежную консистенцию. Количество жизнеспособных колониеобразующих клеток бифидобактерии в 1 г продукта составило 3,1*107.

    При исследовании качественных характеристик сухих смесей обнаружены значительные потери витаминов, особенно витамина С и группы В, на стадиях тепловой и механической обработки. В этой связи в готовый продукт вносили поливитаминный премикс Н33053, рецептура и дозы внесения разработаны в Институте питания РАМН совместно с фирмой «Хофманн - Ла Рош» (Швейцария) специально для детского питания. Соотношение витаминов в премиксе соответствует потребностям в них организма ребенка и особенностям структуры его питания.

    Таким образом, разработанные ферментированные продукты сублимационной сушки, приготовленные с использованием пробиотических культур и пребиотика лактулозы, сохраняют в максимальной степени первоначальные свойства исходных компонентов, являются продуктами функционального питания, в частности, детей в возрасте от 6 мес.


    Источник: www.tharnika.ru
    О Федеральном законе «Об отходах производства и потребления». Первые подзаконные акты принятыО Федеральном законе «Об отходах производства и потребления». Первые подзаконные акты приняты
    Федеральный закон № 458-ФЗ ≪О внесении изменений в Федеральный закон ≪Об отходах произ...
    Эффективные технологии для мгновенного охлаждения  и хранения молокаЭффективные технологии для мгновенного охлаждения и хранения молока
    Оптимальные технические решения для выполнения новых требований «Технического регламента на молоко ...
    Влияние упаковочного материала на качество фасованных сыров
    Увеличение объемов фасованной продукции, в том числе сыров, на торговой полке является устойчивым тр...
    Перспективы картонной  упаковки для молокаПерспективы картонной упаковки для молока
    Ежегодно на мировом рынке появляется более 100 тыс. видов продукции с различным жизненным циклом. То...
    Превращение отходов  в деньгиПревращение отходов в деньги
    Очистка образующихся в производстве напитков сточных вод с помощью биогазового оборудования может с...
    Приоритет – организация рентабельного производстваПриоритет – организация рентабельного производства
    ЗАО «Молмаш Комплект» занимается комплексной поставкой и вводом в эксплуатацию линий и молочных зав...
    Молочная индустрия:  пора надеждМолочная индустрия: пора надежд
    Экономическое развитие молочной отрасли, как и других отраслей народного хозяйства, обусловлено мног...
    Производственный контроль  на молоко перерабатывающих  предприятияхПроизводственный контроль на молоко перерабатывающих предприятиях
    Автор статьи комментирует новый документ для специалистов молочной отрасли – «Методические рекоменд...
    ПОИСК ПО ПОРТАЛУ
      Карта сайта

    Выставка «GIS 2026»

    ОБЗОР РЫНКА
    Зарегистрированных посетителей: 12031

    ПОПУЛЯРНЫЕ ЗАПРОСЫ
    Настоящим, в соответствии с Федеральным законом № 152-ФЗ «О персональных данных» от 27.07.2006 года, Вы подтверждаете свое согласие на обработку компанией ООО «Концепция связи XXI век» персональных данных: сбор, систематизацию, накопление, хранение, уточнение (обновление, изменение), использование, передачу в целях продвижения товаров, работ, услуг на рынке путем осуществления прямых контактов с помощью средств связи, продажи продуктов и услуг на Ваше имя, блокирование, обезличивание, уничтожение.

    Компания ООО «Концепция связи XXI век» гарантирует конфиденциальность получаемой информации. Обработка персональных данных осуществляется в целях эффективного исполнения заказов, договоров и иных обязательств, принятых компанией в качестве обязательных к исполнению.

    В случае необходимости предоставления Ваших персональных данных правообладателю, дистрибьютору или реселлеру программного обеспечения в целях регистрации программного обеспечения на Ваше имя, Вы даёте согласие на передачу своих персональных данных.

    Компания ООО «Концепция связи XXI век» гарантирует, что правообладатель, дистрибьютор или реселлер программного обеспечения осуществляет защиту персональных данных на условиях, аналогичных изложенным в Политике конфиденциальности персональных данных.

    Настоящее согласие распространяется на следующие персональные данные: фамилия, имя и отчество, место работы, должность, адрес электронной почты, почтовый адрес доставки заказов, контактный телефон, платёжные реквизиты. Срок действия согласия является неограниченным. Вы можете в любой момент отозвать настоящее согласие, направив письменное уведомление на адрес: podpiska@vedomost.ru с пометкой «Отзыв согласия на обработку персональных данных».

    Обращаем Ваше внимание, что отзыв согласия на обработку персональных данных влечёт за собой удаление Вашей учётной записи с соответствующего Интернет-сайта и/или уничтожение записей, содержащих Ваши персональные данные, в системах обработки персональных данных компании ООО «Концепция связи XXI век», что может сделать невозможным для Вас пользование ее интернет-сервисами.

    Давая согласие на обработку персональных данных, Вы гарантируете, что представленная Вами информация является полной, точной и достоверной, а также что при представлении информации не нарушаются действующее законодательство Российской Федерации, законные права и интересы третьих лиц. Вы подтверждаете, что вся предоставленная информация заполнена Вами в отношении себя лично.

    Настоящее согласие действует в течение всего периода хранения персональных данных, если иное не предусмотрено законодательством Российской Федерации.

    Принимаю условия соглашения
    support@milkbranch.ru
    © 2007-2026. Издательский дом "Отраслевые Ведомости". Все права защищены
    Копирование информации данного сайта допускается только при условии установки ссылки на оригинальный материал
    Mon, 16 Feb 2026 05:04:14